Annonce


AUCUNE INFO POUR LE MOMENT :test

Image Not Found

Prochaine course

7 mars Lavardin 12H : cat5 –
13h45: cat4
15h30 : 1,2,3 -Team Isa

Challenge 2026

INFO CHALENGE voir si
idée à mettre en place
test

Image Not Found
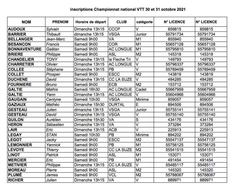
CHPT2021VTT

NATIONAL VTT LISTE DES ENGAGES

la liste définitive des engagements du National FSGT VTT des 30…

S20210

PODIUMS SEMUR EN VALLON

Merci à Jean Pierre Hoguin pour les clichés      …

PHOTOS EN VIDEO DUO SUZERAINS

    {youtube}Qhh_zO1DjUA{/youtube}  

VTT2021E1

VTT 2021 NOS ENGAGES SARTHOIS

Ci-desous liste des engagés sarthois pour le National VTT 2021 avec…

semur2021

SEMUR EN VALlON 02/10

Tous à vos agendas –  Merci à Eric de la Patriote…

DELAUNE2021

Auguste Delaune 16/10

Une date à retenir le 16 octobre 2021